Avaliação de fungicidas no controle de antracnose e mancha alvo, e no rendimento da cultura da soja
DOI:
https://doi.org/10.18188/sap.v14i3.10275Palavras-chave:
Glycine max, Colletotrichum truncatum, Corynespora cassiicola, produtividadeResumo
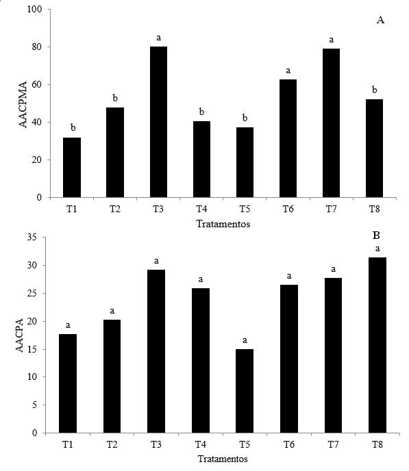
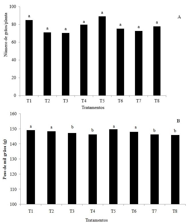
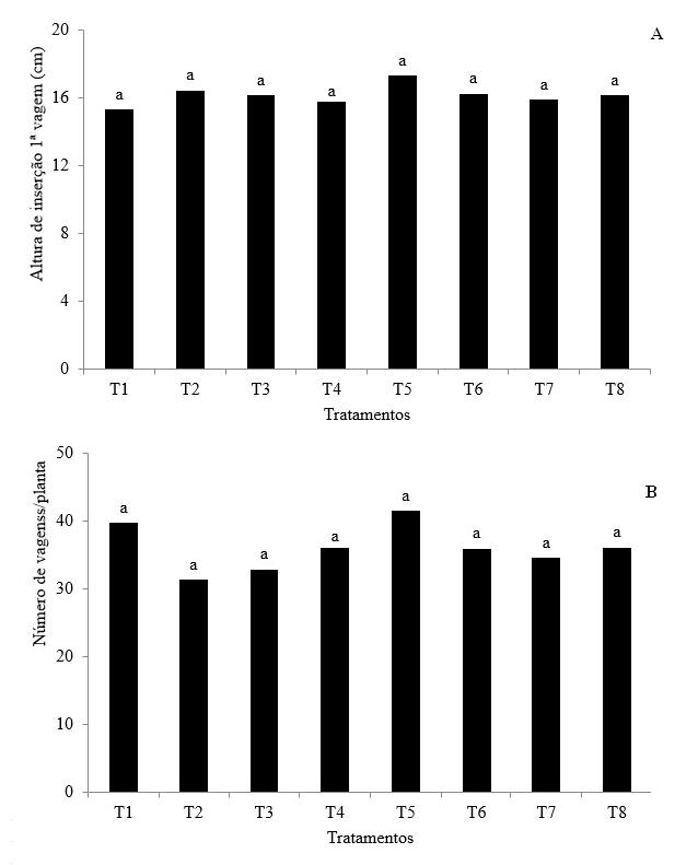
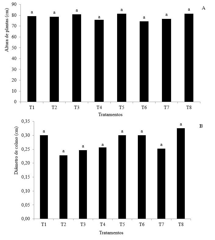
A soja é uma das principais atividades econômicas com grande destaque no cenário mundial, pois é fonte de produtos alimentícios, tanto para animais quanto para humanos, além do crescente uso de biocombustíveis fabricados a partir do grão. Como a demanda internacional do grão começou a aumentar, novas tecnologias e inovações foram agregadas para que houvesse expansão da cultura, contudo, sua produtividade vem sendo limitada, principalmente pela ocorrência de doenças, como antracnose (Colletotrichum truncatum) e mancha alvo (Corynespora cassiicola). Assim, buscou-se avaliar a eficiência de fungicidas no controle de antracnose e mancha alvo, aplicados via foliar, em área comercial na região Norte do estado do Mato Grosso. O delineamento experimental foi blocos casualisados com oito tratamentos e três repetições, totalizando 24 parcelas. Os tratamentos avaliados foram: T1- Testemunha; T2- 1ª Aplicação: Piraclostrobina + Epoxiconazol, 2ª Aplicação: Fluxapiroxade + Piraclostrobina; T3- 1ª Aplicação: Azoxistrobina, 2ª Aplicação: Azoxistrobina; T4- 1ª Aplicação: Piraclostrobina, 2ª Aplicação: Piraclostrobina + Epoxiconazol; T5- 1ª Aplicação: Fluxapiroxade + Piraclostrobina, 2ª Aplicação: Fluxapiroxade + Piraclostrobina; T6- 1ª Aplicação: Trifloxistrobina + Protioconazol, 2ª Aplicação: Trifloxistrobina + Protioconazol; T7- 1ª Aplicação: Picoxystrobina + Ciproconazol, 2ª Aplicação: Picoxystrobina + Ciproconazol; T8- 1ª Aplicação: Tebuconazole, 2ª Aplicação: Tebuconazole. A primeira aplicação de fungicidas foi realizada no florescimento da soja e a segunda, 15 dias após a primeira aplicação. Não houve diferença estatística entre os tratamentos avaliados na altura de planta, altura da inserção da 1ª vagem, número de vagens por planta e número de grãos por planta. Em relação à antracnose, os tratamentos não apresentaram diferença significativa, porém, o tratamento T2 apresentou maior eficiência no controle de mancha alvo. Os tratamentos que propiciaram acréscimo na massa de 1000 grãos (g) foram T1, T2, T5 e T6, porém não houve diferença entre os tratamentos na produtividade (sacas ha-1).
Downloads
Arquivos adicionais
Publicado
Como Citar
Edição
Seção
Licença
Aviso de Direito Autoral Creative Commons
Política para Periódicos de Acesso Livre
Autores que publicam nesta revista concordam com os seguintes termos:
1. Autores mantém os direitos autorais e concedem à revista o direito de primeira publicação, com o trabalho simultaneamente licenciado sob a Licença Creative Commons Attribution que permite o compartilhamento do trabalho com reconhecimento da autoria e publicação inicial nesta revista.2. Autores têm autorização para assumir contratos adicionais separadamente, para distribuição não-exclusiva da versão do trabalho publicada nesta revista (ex.: publicar em repositório institucional ou como capítulo de livro), com reconhecimento de autoria e publicação inicial nesta revista.
3. Autores têm permissão e são estimulados a publicar e distribuir seu trabalho online (ex.: em repositórios institucionais ou na sua página pessoal) a qualquer ponto antes ou durante o processo editorial, já que isso pode gerar alterações produtivas, bem como aumentar o impacto e a citação do trabalho publicado (Veja O Efeito do Acesso Livre).
Licença Creative Commons
Esta obra está licenciada com uma Licença Creative Commons Atribuição-NãoComercial-CompartilhaIgual 4.0 Internacional, o que permite compartilhar, copiar, distribuir, exibir, reproduzir, a totalidade ou partes desde que não tenha objetivo comercial e sejam citados os autores e a fonte.