Control of Bipolaris sorokiniana in wheat and interference on diazotrophic endophytes
Palavras-chave:
Acibenzolar-S-metil, Bacillus cereus, indução de resistência, mananoligossacarídeo fosforilado, mancha marrom.Resumo
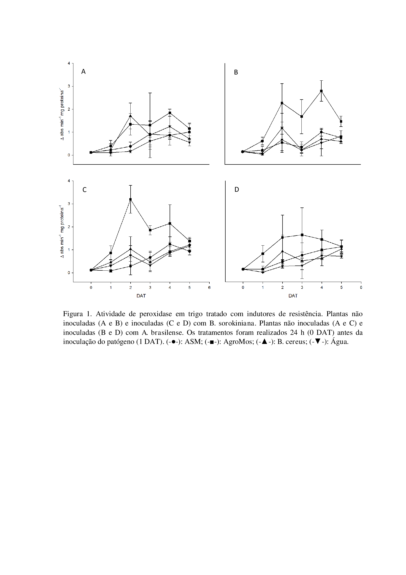
The induced resistance efficiency in the control of phytopathogens is recognized, however little is known about its interference on non-target microorganisms. The present study aimed to verify the induction of peroxidase activity by the use of acibenzolar-S-methyl (ASM), mannanoligosaccharide (MOS) and Bacillus cereus inductor in the control of spot blotch wheat disease and its interference on the non-target microorganism Azospirillum brasilense. The experiment was conduced under greenhouse condition. The experimental design was a randomized block in a factorial schema 4 x 2 x 2, with four replications. The first factor “Resistance Inductors” was constituted by ASM, MOS and B. cereus inductors and water (control). The second factor “Pathogen” was constituted by the presence or absence of B. sorokiniana pathogen. The third factor “PPGR” was made up by the presence or absence of the PPGR A. brasilense. Disease severity, peroxidase activity and quantification of endofitic diazotrofic microorganisms were assessed. There was a reduction in the disease severity by the use of resistance inductors. The activity of peroxidase was estimulated by MOS. Direct interference of the inductors on endophytic diazotrophic microorganisms was not observed.
Downloads
Arquivos adicionais
Publicado
Como Citar
Edição
Seção
Licença
Aviso de Direito Autoral Creative Commons
Política para Periódicos de Acesso Livre
Autores que publicam nesta revista concordam com os seguintes termos:
1. Autores mantém os direitos autorais e concedem à revista o direito de primeira publicação, com o trabalho simultaneamente licenciado sob a Licença Creative Commons Attribution que permite o compartilhamento do trabalho com reconhecimento da autoria e publicação inicial nesta revista.2. Autores têm autorização para assumir contratos adicionais separadamente, para distribuição não-exclusiva da versão do trabalho publicada nesta revista (ex.: publicar em repositório institucional ou como capítulo de livro), com reconhecimento de autoria e publicação inicial nesta revista.
3. Autores têm permissão e são estimulados a publicar e distribuir seu trabalho online (ex.: em repositórios institucionais ou na sua página pessoal) a qualquer ponto antes ou durante o processo editorial, já que isso pode gerar alterações produtivas, bem como aumentar o impacto e a citação do trabalho publicado (Veja O Efeito do Acesso Livre).
Licença Creative Commons
Esta obra está licenciada com uma Licença Creative Commons Atribuição-NãoComercial-CompartilhaIgual 4.0 Internacional, o que permite compartilhar, copiar, distribuir, exibir, reproduzir, a totalidade ou partes desde que não tenha objetivo comercial e sejam citados os autores e a fonte.